1、什么是交變濕熱試驗?
濕熱測試是產品三防(防潮、防霉、防鹽霧)試驗之一,被廣泛用于電子電工技術領域。
根據產品的受潮機理和吸濕方式選擇濕熱試驗方法。產品是以吸附或吸收水分后而受潮的,一般應采用恒定濕熱試驗;產品是以凝露或通過呼吸作用加強了濕度對產品的影響的,應采用交變濕熱試驗;如果產品有滲透作用而無呼吸作用時,則要從實際出發,根據產品的類型及使用條件;適當選用恒定或交變濕熱試驗。
交變濕熱測試是模擬熱帶雨林的環境,確定產品和材料在溫度變化,產品表面凝露時的使用和貯存的適應性。常用于壽命試驗、評價試驗和綜合試驗。技術指標包括:溫度、相對濕度、轉換時間、交變次數。
2、交變濕熱試驗的測試標準有哪些?
GB/T 2423.4-2008電工電子產品環境試驗 第2部分:試驗方法 試驗Db 交變濕熱(12h+12h循環)
GB/T 32065.7-2015海洋儀器環境試驗方法 第7部分:交變濕熱試驗
GB/T 2424.2-2005電工電子產品環境試驗 濕熱試驗導則
GB/T 15905-1995硫化橡膠濕熱老化試驗方法
GB/T 1740-2007漆膜耐濕熱測定法
GB/T 12000-2017塑料 暴露于濕熱、水噴霧和鹽霧中影響的測定
SC/T 7002.4-2016漁船用電子設備環境試驗條件和方法 交變濕熱(Db)
GJB 150.9-1986 軍用設備環境試驗方法 濕熱試驗
IEC 60068-2-30:2005環境試驗 第2-30部分:試驗 試驗Db:循環濕熱試驗(12h+12h循環)
3、交變濕熱試驗測試要點總結
(1)GB/T 2423.4-2008電工電子產品環境試驗 第2部分:試驗方法 試驗Db 交變濕熱(12h+12h循環)
適用范圍:本部分適用于確定元件、設備或其他產品在高濕度與溫度循環變化組合且通常會在試驗樣品表面產生凝露的條件下使用、運輸和貯存的適應性。如果本試驗用于檢驗帶包裝樣品在運輸和貯存過程中的性能時,應帶包裝一起進行試驗。
嚴酷程度:高溫和循環次數的組合決定了試驗的嚴酷程度,嚴酷程度應從a)高溫,40℃;循環次數:2,6,12,21,56;b)高溫,55℃;循環次數:1,2,6
試驗結果評定:目視檢查以及性能測定
(2)GB/T 15905-1995硫化橡膠濕熱老化試驗方法
適用范圍:本標準規定了硫化橡膠在潮濕的熱空氣環境下進行的老化試驗方法。本標準適用于評價橡膠耐濕熱老化的性能。
試驗方法概要:將橡膠試樣暴露于濕熱的熱空氣環境中,經受熱空氣和水氣的作用,按預定時間檢測試樣性能變化,從而評價橡膠耐濕熱老化性能。
試驗條件:試驗環境包括試驗空氣溫度和相對濕度等條件,可按橡膠產品的使用條件或有關方面的協議規定,也可接下列環境進行選用:
1)恒定試驗環境,恒定溫度:40±2℃;相對濕度:93%,如果做加速老化試驗,溫度建議采用70±2℃
2)交變試驗環境
交變溫度:下限為25±3℃,上限選40±2℃或55±2℃中的一種;相對濕度:(93±3)%,溫度上下限升降以12 h+12h進行交變循環。從循環開始起12h±30 min為止,應保持在規定的溫度范圍內。升、降溫度的交變時間,可控制在3~6 h之內。相對濕度在溫度交變的最初15 min和最后15 min座不低于90%,其他時間均應為(93±3)%。
3)試驗周期和期限可安實際需要或有關方面的協議商定,也可采用下列的時間為試驗周期:24h,或24 h的倍數;7d,或7d的倍數。
4)試驗用水,調節濕熱箱濕度或與試樣接觸用的水應采用pH值為6~7的熱縮水成去離子水
試驗結果評定:試驗結果可用試樣老化前后檢測的性能值(取中位數),或試樣老化性能變化率來表示。

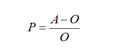
式中:
P--試樣老化性能變化率,%
O---試樣老化前性能的測定值
A--試樣老化后性能的測定值
其中,硬度的變化可用A-O之差來表示
(3)GB/T 1740-2007漆膜耐濕熱測定法
適用范圍:本標準規定了色漆、清漆或相關產品的涂層抗高溫、高濕環境能力的試驗方法。本標準適用于漆膜耐濕熱性能的測定。
試驗設備:調溫調濕箱
試樣要求:推薦試樣尺寸為150mm*70mm*1mm;3塊試板
試驗溫度:(47±1)℃,相對濕度為(96±2)%
試驗時間:連續試驗48h檢查一次,兩次檢查后,每隔72h檢查一次,試驗時間雙方約定
試驗結果評定:評定試板生銹、起泡、變色、開裂或其他破壞現象;評定綜合破壞等級
(4)GB/T 32065.7-2015海洋儀器環境試驗方法 第7部分:交變濕熱試驗
適用范圍:本部分規定了海洋儀器交變濕熱試驗的試驗要求、試驗過程及相關信息。本部分適用于考核和確定海洋儀器在溫度循環變化、產品表面產生凝露的濕熱環境條件下使用或貯存的適應性。
試驗溫度和相對濕度:從a)和b)中選取,a)常溫溫度,(25±2)℃,高溫溫度(40±2)℃;相對濕度:常溫階段95%~100%,高溫階段90%~96%;b)常溫溫度:(25±2)℃,高溫溫度(55±2)℃;相對濕度:常溫階段95%~100%,高溫階段90%~96%;
試驗周期:1個交變周期為1d,試驗周期從2d、4d、6d、10d中選取
試驗結果評定:外觀檢查、電性能、機械性能檢測以及其他性能檢測
Copyright ? 2017-2024 江蘇隱石實驗科技有限公司 All Rights Reserved 備案號:蘇ICP備2021030923號-2
蘇公網安備32020502001473 技術支持:迅誠科技