在化工領域,大家有時會想要關注反應容器內部的微粒及納米顆粒分布情況。這些顆粒往往產生于被動混合器,例如有限沖擊射流反應器(Confined impinging jet reactor,以下簡稱CIJR)、多入口渦流反應器中的沉淀過程。沉淀過程中,控制微粒的粒徑分布,形狀,形態及構成比較關鍵。利用CFD,可以對此類反應器進行設計、優化。因反應器尺寸小,工況復雜,轉捩的存在,容器內部的流場及混合動力學十分復雜。且反應器中的湍流往往與化學反應,微粒的形成及其相互作用密切聯系,因此CFD的首要任務就是獲得相關流場流動特性。
研究此類反應器內部流場,常見的方法有RANS (雷諾時間平均法) 。RANS模型計算量需求較小,但忽略了流場中的非定常特性,而非定常特性在流場中存在化學反應時尤其重要。因而人們還會用DNS (直接數值模擬) 和 LES (大渦數值模擬)來捕捉流場的非定常特性。DNS需直接求解Navier-Stokers方程,在高雷諾數時所需計算資源異常龐大。 LES則利用亞格子模型 (SGS model),只求解包含絕大部分湍動能的大尺度渦結構。
這里采用LES方法模擬CIJR的內部流動,仿真的平臺是商業軟件TransAT。
TransAT的網格生成技術比較特殊,采用了浸入式邊界法 (Immersed Surface Technique , IST),即CFD網格會與物體表面相交,這樣生成的網格質量更高。
1物理模型
流體方程
為了模擬CIJR內部的單相流動,需要求解不可壓的NS方程。
對于LES, 流場變量以濾波形式存在。例如速度:

其中G為濾波函數。最常見的是所謂的“盒子濾波”,直接利用有限體積法下的空間算子。
上述過濾速度代入動量方程后,會出現殘余應力張量:
![]()
此項需要利用SGS模型與流場的宏觀量來建模。最簡單的模型即“constant Smagorinsky” 模型,殘余應力張量被建模為:
![]()
其中是濾波器的帶寬,是濾波應變率, 是它的范數,為Smagorinsky常數。其他的SGS模型還有Germano的 dynamic SGS model,可以動態預測不同流動階段,從轉捩到湍流充分發展。
2數值方法
TransAT利用有限體積法求解控制方程,而固體表面則采用浸入式邊界法處理。
對于壁面無滑移條件,TransAT定義了一個level set函數 (),它是一個帶正負號的距離函數,正號表示在固體內部,負號表示在流體內部,零則剛好在兩者交界處。
固體和流體域的方程通過光滑Heaviside 函數結合在一起:

Heaviside函數在1 (液相) 和0 (固相)之間變化,并在液固有限界面厚度為處取一個中間值。最終的密度和速度可以定義為:

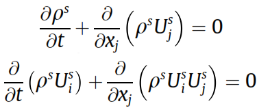
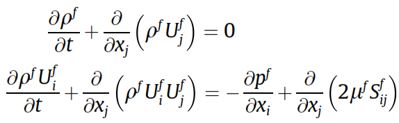
上標f表示流體的量,上標s表示固體的量。
對于固相,控制方程為:

對于靜止物面的情況,固相速度被設為0, 則標準的Navier-Stokes方程用來描述液相:

方程右端最后一項表示交界面處的粘性剪切力。壁面剪切可以建模為:

表示固液交界面的法向,即代表交界面位置的Dirac函數。
因為壁面是處于方形網格內部,生成網格的工作量將大大減小。另外由于網格沒有偏斜,偏斜導致的數值耗散也不存在。這兩個特點使得IST方法在模擬復雜幾何體的瞬態湍流流動時十分有優勢。
速度-壓力耦合方程的求解這里用的是SIMPLEC算法。時間離散采用的是三階Runge-Kutta格式。對流項通過HLPA格式和QUICK格式離散。
SGS模型采用了Cs=0.08的Smagorinsky模型,并限制了近壁面處的擴散;另外為了比較不同模型對計算結果的影響,仿真還采用了Germano的“ dynamic SGSmodel” 模型,在壁面區域,采用了Werner-Wengle壁面函數和van Driest 衰減函數。
2工況及邊界條件
CIJR的模型如下圖所示,其包括一個圓柱形的反應室和圓管作為進出口。流體通過兩個相對的直徑為1mm的圓管,以平均流速uj進入反應器,而后從底部直徑為2mm的圓形出口流出。反應器圓柱體直徑為D=4.8mm. 反應器總容積約為V=1.73×10-7m3, 小容積意味著流體的平均駐留時間很短。

圖1 CIJR模型
射流的雷諾數為:
流體的物理特性以實驗為參考,這里選取了尿素的水溶液,密度ρf=1.141g/cm3,粘度 (選擇該流體是因為其折射率與反應容器壁的折射率更為匹配)。此處研究了5個不同流率下對應不同流速uj,駐留時間和雷諾數Rej見下表。

雷諾數表明入口管內流體為層流,因此這里設置拋物型入口速度分布。實驗數據只有前四個流率。額外加的流率150mL/min是為了研究高雷諾數下數值格式和SGS模型的表現。
計算域網格見下圖。

進口邊界的速度被疊加了諧波瞬態分量以模擬真實入口速度的波動。兩個入口邊界的速度波動被設置為相位相反,以突出瞬態反對稱流動的效應。速度波動與入口的拋物型速度分布成正比,為定常速度值的10%,數據來自于試驗測量得到的標準偏差。
CFD模擬用到了4核 CPU,2-2.5 天的CPU 時間,模擬了6個駐留時間內的流場。
3模擬結果與討論
瞬時流動圖3與圖4展示了FR=90mL/min 時不同進口條件下反應器內部瞬時速度場分布。


左圖的模擬對應恒定進口流率等于標定流率,可以看到容器內部速度出現了大尺度的脈動;右圖的模擬對應更符合實際情況的震蕩進口流率,可以看到反對稱的速度進口條件帶出了更多尺度的速度脈動,這些脈動在恒定進口流率的情況下即使加密網格也不能觀測的到。
這些不同尺度的流動結構在圖5的渦旋大小的分布圖中更容易看出。渦量可以很好的反映出流動的結構、生成與耗散的尺度和它們與當地剪切流的相互作用。
文章內容來自網絡,如有侵權請聯系管理員
隱石服務項目: HIC抗氫致開裂試驗 SSC硫化氫應力腐蝕試驗 應力導向氫致開裂SOHIC試驗 API 622防逸散過程閥門填料型式試驗 均勻腐蝕試驗 高溫高壓腐蝕試驗 金屬腐蝕速率檢測 鋁合金晶間腐蝕檢測 中性鹽霧試驗
標簽:
Copyright ? 2017-2024 江蘇隱石實驗科技有限公司 All Rights Reserved 備案號:蘇ICP備2021030923號-2
蘇公網安備32020502001473 技術支持:迅誠科技